leetcode-509 斐波那契数


509. 斐波那契数

难度: 简单




递归写法:


1
2
3
4
5
6
7
8
9
func fib(N int) int {

if N <= 1 {
return N
}

return fib(N-1) + fib(N-2)

}

写法简洁,但效率却很低,会出现大量重复计算…(解决重复计算,优先考虑到的办法就是动态规划)

即约为 $\frac{1}{\sqrt{5} }\cdot [ (1.618)^n + (0.618)^n$]


一般都认为这种写法的时间复杂度为: $O(2^n)$ :

求解F(n),必须先计算F(n-1)和F(n-2),计算F(n-1)和F(n-2),又必须先计算F(n-3)和F(n-4)…. 以此类推,直至必须先计算F(1)和F(0),然后逆推得到F(n-1)和F(n-2)的结果,从而得到F(n).

可见过程中要计算很多重复的值(且没有将这些过程中的值存储起来复用),在时间上造成了很大浪费,算法的时间复杂度随着N的增大呈现指数增长,时间的复杂度为$O(2^n)$




非递归写法:


1
2
3
4
5
6
7
8
9
10
func fib(N int) int {

a,b := 0,1 //这其实就是f(0)和f(1)

for i := 0; i < N; i++ {
a, b = b, a+b //每次循环,依次变为1,1 / 1,2 / 2,3 / 3,5 / 5,8...
}

return a
}

时间复杂度为: $O(n)$

从 $n>2$ 开始,用F(n-1)和F(n-2)两个数相加求出结果,避免大量重复计算,其的效率比递归算法快得多,算法的时间复杂度与n成正比,即算法的时间复杂度为 $O(n)$




动态规划解法:


时间复杂度为 $O(n)$

参见:

动态规划套路详解

面试题10- I. 斐波那契数列(动态规划,清晰图解)



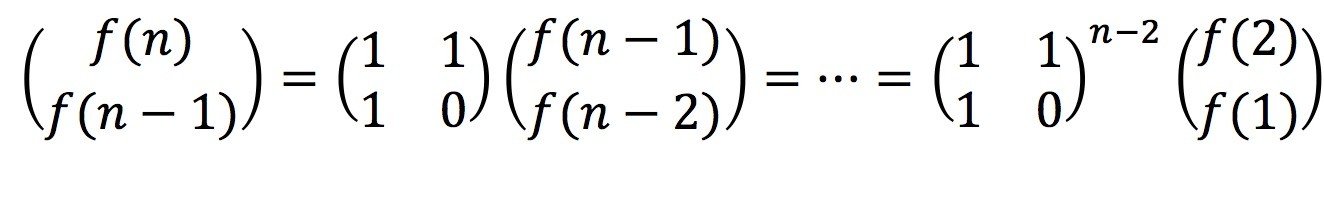
矩阵相乘法:


根据上面的递归公式, 可以得到

计算f(n)就简化为计算${矩阵}^{n-2}$,而计算${矩阵}^{n-2}$,又可以进行分解,即计算$${矩阵}^{\frac{n-2}{2}}$$的平方,逐步分解下去. 由于折半计算矩阵次方,因而时间复杂度为$O(\log_2n)$


1
2
3
4
5
6
7
8
9
10
11
12
13
14
15
16
17
18
19
20
21
22
23
24
25
26
27
28
29
30
31
32
33
34
35
36
func fib(N int) int {
if N == 0 || N == 1 {
return N
}
// first 是第0个和第1个元素
first := [][2]int{[2]int{0, 1}, [2]int{0, 0}}
// temp为系数
temp := [][2]int{[2]int{0, 1}, [2]int{1, 1}}
res := matrix22_pow(temp, N - 1)
return matrix22_mul(first, res)[0][1]
}

func matrix22_pow(x [][2]int, n int) [][2]int {
r := x
res := [][2]int{[2]int{1, 0}, [2]int{0, 1}}
for n != 0 {
if n & 1 == 1 {
// 最低二进制位为1
res = matrix22_mul(res, r)
}
// 2维矩阵相乘
r = matrix22_mul(r, r)
n >>= 1
}
return res
}

func matrix22_mul(x, y [][2]int) [][2]int {
temp := make([][2]int, 2)
temp[0][0] = x[0][0] * y[0][0] + x[0][1] * y[0][1]
temp[0][1] = x[0][0] * y[0][1] + x[0][1] * y[1][1]
temp[1][0] = x[1][0] * y[0][0] + x[1][1] * y[0][1]
temp[1][1] = x[1][0] * y[1][0] + x[1][1] * y[1][1]
return temp
}




达到同样目的,时间复杂度可以是 $O(2^n)$,也可以是 $O(\log_2n)$.可见算法选取是有多么重要,性能可能千差万别


更多参考:

斐波那契数列三种解法及时间复杂度分析

斐波那契数的时间复杂度、空间复杂度详解

斐波那契数列的三种时间复杂度

6种解法解决斐波那契数列