PV操作

什么是信号量

1
2
3
4
5
6
7
计数信号量具备两种操作动作,称为V(signal())与P(wait())(即部分参考书常称的“PV操作”)。V操作会增加信号量S的数值,P操作会减少它。

运行方式:

初始化信号量,给与它一个非负数的整数值。
运行P(wait()),信号量S的值将被减少。企图进入临界区的进程,需要先运行P(wait())。当信号量S减为负值时,进程会被阻塞住,不能继续;当信号量S不为负值时,进程可以获准进入临界区。
运行V(signal()),信号量S的值会被增加。结束离开临界区的进程,将会运行V(signal())。当信号量S不为负值时,先前被阻塞住的其他进程,将可获准进入临界区。

例题


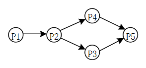
例1


进程P1、P2、P3、P4和P5的前趋图如下所示:



若用 PV操作 控制进程P1、P2、P3、P4 、P5并发执行的过程,则需要设置5个信号量S1、S2、S3、S4和S5,且信号量S1~S5的初值都等于零。下图中a、b 和c处应分别填写(  );d和e处应分别填写(  ),f和g处应分别填写(  )。



问题1选项


A.V(S1)、P(S1)和V(S2)V(S3) 

B.P(S1)、V(S1)和V(S2)V(S3) 

C.V(S1)、V(S2)和P(S1)V(S3) 

D.P(S1)、V(S2)和V(S1)V(S3) 


问题2选项


A.V(S2)和P(S4) 

B.P(S2)和V(S4) 

C.P(S2)和P(S4) 

D.V(S2)和V(S4) 


问题3选项


A.P(S3)和V(S4)V(S5) 

B.V(S3)和P(S4)P(S5) 

C.P(S3)和P(S4)P(S5) 

D.V(S3)和V(S4)V(S5) 


解:

空 (1) 的正确的选项为 A 。

根据前驱图,$P_1$进程执行完需要通知$P_2$进程,故需要利用$V(S_1)$操作通知$P_2$进程,所以空 a 应填$V(S_1)$;


$P_2$ 进程需要等待$P_1$进程的结果,故需要利用 $P(S_1)$ 操作测试 $P_1$ 进程是否运行完,所以空 b 应填 $P(S_1)$;


又由于$P_2$进程运行结束需要利用$V(S_2)$、$V(S_3)$操作分别通知$P_3$、$P_4$进程,所以空 c应填 $V(S_2)$、$V(S_3)$。



例1-2


进程P1、P2、P3、P4和P5的前趋图如下所示:



PV操作 控制这5个进程的同步与互斥的程序如下,程序中的空①和空②处应分别为(  ),空③和空④处应分别为(  ),空⑤和空⑥处应分别为(  )。


问题1选项

A.V (S1)和P(S2)P (S3)) 
B.P(S1)和V(S1)V (S2)) 
C.V (S1)和V (S2)V (S3)) 
D.P (S1)和V(S1)P (S2)) 


问题2选项

A.V (S4)V (S5)和P(S3) 
B.V (S3) V (S4)和V(S5) 
C.P (S4)和P (S5)V (S5) 
D.P(S4)和P(S5) V (S4) 


问题3选项

A.P (S6)和P (S5) V (S6) 
B.V (S5)和V (S5) V (S6) 
C.P (S6)和P (S5)P (S6) 
D.V (S6)和P (S5) P(S6) 


解:

根据前驱图,P1进程运行完需要利用V操作V(S1)通知P2进程,所以空①应填 V (S1)。P2进程运行完需要利用V操作V(S2)、V(S3)分别通知P3、P4进程,所以空②应填V (S2) V (S3)。

根据前驱图,P3进程运行完需要利用V操作V(S4)、V(S5)分别通知P4、P5 进程,故空③应为填写V(S4)V(S5)。P4需要等待P2和P5进程的通知,需要执行2个Р操作,由于P4进程的程序中执行前有1个Р操作P(S4),故空④应为填写P(S3)。

根据前驱图,P4进程执行完需要通知P5进程,故P4进程应该执行1个V操作,即空⑤应填V(S6)。P5进程运行前需要等待P3和P4进程的通知,需要执行2个Р操作,故空⑥应填写P(S5)和P(S6)。

根据上述分析,用PV操作控制这6个进程的同步与互斥的程序如下:




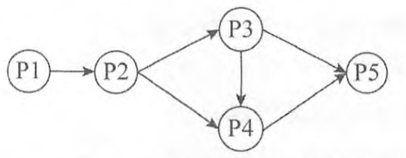
例1-3


进程P1、P2、P3、P4、P5的前趋图如下:

若用PV操作控制进程并发执行的过程,则需要设置4个信号量S1、S2、S3和S4,且信号量初值都等于零。下图中a和b应分别填写( ),c和d应分别填写( ),e和f应分别填写( )。



A.P(S1)和P(S2)

B.P(S1)和V(S2)

C.V(S1)和V(S2)

D.V(S1)和P(S2)





例1-4


进程P1、P2、P3、P4和P5的前趋图如下:



若用PV操作控制进程P1~P5并发执行的过程,则需要设置6个信号S1、S2、S3、S4、S5和S6,且信号量S1-S6的初值都等于零。下图中a和b处应分别填写(  );c和d处应分别填写(  ),e和f处应分别填写(  )。



问题1选项
A. P(S1)P(S2)和P(S3)P(S4)
B. P(S1)V(S2)和P(S2)V(S1)
C. V(S1)V(S2)和V(S3)V(S4)
D. P(S1)P(S2)和V(S1)V(S2)

问题2选项
A. P(S1)P(S2)和V(S3)V(S4)
B. P(S1)P(S3)和V(S5)V(S6)
C. V(S1)V(S2)和P(S3)P(S4)
D. P(S1)V(S3)和P(S2)V(S4)

解:

本题主要考查用PV操作控制进程的并发执行。首先我们需要弄清楚前驱图中给出的各进制的执行顺序。从图中我们不难看出进程P1和P2没有前驱,也就是可以首先并发执行,而进程P3的前驱是P1和P2,P4的前驱是P1和P3,P5的前驱是P2和P3。那么怎么理解前驱呢?其实前驱就是指只有在前驱进程完成后,该进程才能开始执行

  在本题的前驱图中我们不难看出,有6条路径,分别是P1->P3,P1->P4,P2->P3,P2->P5,P3->P4,P3->P5。而且题目也告诉我们分别有6初值为0个信号量(S1-S6),要我们用PV操作来控制进程P1~P5的并发执行。这里我们就需要清楚P与V这两种操作。
<

P原语的主要操作是:
(1)信号量(sem)减1;   
(2)若相减结果大于等于零,则进程继续执行;   
(3)若相减结果小于零,则阻塞一个在该信号量上的进程,然后再返回原进程继续执行或转进程调度。

V原语的主要操作是:   
(1)信号量(sem)加1;   
(2)若相加结果大于零,则进程继续执行;   
(3)若相加结果小于或等于零,则唤醒一阻塞在该信号量上的进程,然后再返回原进程继续执行或转进程调度。

  总而言之,进行P操作的主要目的是阻塞某信号量上的进程,而进行V操作的主要目的是唤醒某信号量上的进程。
  下面我们具体来求解这个题目。a空处,是在进程P1执行完成以后,那么根据题目的前驱图我们可以知道,这个时候它应该唤醒它的后继进程P3和P4,因此需要执行两个V操作,同样的道路,b空处也需要执行两个V操作,因此可以知道第一空答案选C。

  至于C空处,它是在进程P3执行前进行的处理。根据前驱的意义,我们可以知道执行P3要在P1和P2完成后,因此这个时候,它首先需要判断P1和P2进程是否完成,如何它们完成的话,会分别执行唤醒P3的V操作(换句话说就是会给相应的信号量进行加1操作),那么这个时候我们也可以通过同样的信号量来判断,即对相应的信号量进行减1操作,判断它是否大于0,如果大于等于0,则执行P3,也就是需要P操作。从题目给出的答案来看,这两个信号量应该分别是S1和S3。那么执行完P3后,它也需要唤醒它的后继进程P4和P5,因此需要执行两个V操作,因此D空处应该是两个V操作。综上所述,我们可以知道第二空的答案选B。

  分析到这里后,第三空的答案应该就很明显了,P4和P5进程在执行前,都需要做与P3进程执行前一样的判断,因此都需要进行两个P操作。所以本题答案选C。

  其实做这类题也不难,首先需要我们对PV操作要有一个透彻的理解,另外就是能分析出题目执行的逻辑关系。



例2


若用PV操作来管理相关临界区,且信号量的值总是在[-2,1]之间变化,则(  )


A.最多只有一个进程在相关临界区执行

B.至少有两个进程在等待进入相关临界区

C.相关临界区的个数最多2个

D.竞争相关临界区执行权的进程最多2个

解:

本题考查进程管理-进程同步。相关临界区:指并发进程中涉及到相同变量的那些临界区。对于若干个并发进程共享某一变量的相关临界区的管理有三个要求:(1)一次最多一个进程能够进入临界区;(2)不能让一个进程无限制地在临界区执行;(3)不能强迫一个进程无限制地等待进入它的临界区。

若用PV操作来管理相关临界区,且信号量的值总是在[-2,1]之间变化,则最多只有一个进程在相关临界区执行。故本题选A。




2-2


临界区是()。


A.一段共享数据区

B.一个缓冲区

C.一段程序

D.一个同步机制

解:

本题考查进程管理-进程同步。临界区指的是一个访问共用资源(例如:共用设备或是共用存储器)的程序片段,而这些共用资源又无法同时被多个线程访问的特性。当有线程进入临界区段时,其他线程或是进程必须等待(例如:bounded waiting等待法),有一些同步的机制必须在临界区段的进入点与离开点实现,以确保这些共用资源是被互斥获得使用。故本题选C。



参考:

软件设计师:第五章:操作系统考点总结

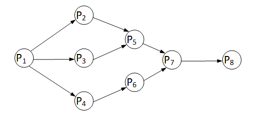
前趋图(Precedence Graph) 是一个有向无环图,记为:→={(Pi,Pj )|Pi   must complete before  Pj  may strat}。假设系统中进程P={P1,P2,P3,P4,P5,P6,P7,P8},且进程的前驱图如下:

那么前驱图可记为:(  )。

问题1选项

A.→={(P
2,P
1),(P
3,P
1),(P
4,P
1),(P
6,P
4),(P
7,P
5),(P
7,P
6),(P
8,P
7)}

B.→={(P
1,P
2),(P
1,P
3),(P
1,P
4),(P
2,P
5),(P
5,P
7),(P
6,P
7),(P
7,P
8)}

C.→={(P
1,P
2),(P
1,P
3),(P
1,P
4),(P
2,P
5),(P
3,P
5),(P
4,P
6),(P
5,P
7),(P
6,P
7),(P
7,P
8)}

D.→={(P
2,P
1),(P
3,P
1),(P
4,P
1),(P
5,P
2),(P
5,P
3),(P
6,P
4),(P
7,P
5), (P
7,P
6),(P
8,P
7)}


解:

本题考查前趋图,该图的标记方法是将图中各条边的起始记录好,以便描述这个图。以本题的图为例,由于P1有箭头指向P2,所以有(P1,P2),又由于P1有指向P3的箭头,所以有(P1,P3)依次类推可得到完整的集合与C选项一致。